CORONAVÍRUS - FIOCRUZ

CORONAVÍRUS - FIOCRUZ
TIRES SUAS DÚVIDAS SOBRE A PANDEMIA

segunda-feira, 30 de setembro de 2024

Pastor usa rádio Correio FM para atacar candidato e pedir voto para Aurélio Goiano


Pastor usa rádio para atacar um candidato e pedir voto para o outro

O programa do pastor Gerardo, na "Correio FM 99,1", foi transformado em deplorável palanque político, direcionado ao público evangélico, cerca de 40% do eleitorado de Parauapebas. 

Em total violação a lei eleitoral, o pastor apelidou o candidato Rafael Ribeiro de 'franguinho', não bastando, tece elogios ao candidato a vice da chapa adversária, Chico das Cortinas, e permite pedido aberto de voto para o candidato Aurélio Goiano, segundo o pastor tudo em nome da 'liberdade de expressão', mesmo que escancarademte ilegal.

Pode ter AIJE

A conduta do pastor na Correio FM é deplorável, sob todos os aspectos, pode resultar em uma Ação de Investigação Judicial Eleitoral por abuso de poder e uso indevido dos meios de comunicação.

A Lei das Eleições e a Lei das Telecomunicações

O pastor e o seu programa é um combo de ilícitos eleitorais, o impacto do programa no público evangélico, cerca de 40% do eleitorado municipal, é presumível.

A Lei das Eleições (aqui) bem disciplina o uso de rádios para propaganda eleitoral, podendo configurar abuso do poder e uso indevido do meios de comunicação, a rádio é uma concessão pública.

A Lei das Telecomunicações (aqui) determina que as emissoras guardem em seus arquivos os textos dos programas por 60 dias, sendo que as gravações de programas políticos não registrada em texto deve ser mantida por 20 ou 30 dias, a depender da potência em kw (kilowatt).

Maior despesa da campanha é com a Correio Gráfica

Com a empresa Correio Gráfica o candidato Aurélio Goiano já gastou R$ 576.634,00 (veja aqui), talvez a maior despesa de um candidato com esse tipo de material no Pará, nessas eleições de 2024.

Compare com Belém

Para comparar, em Belém, para essa mesma despesa, somando as três principais candidaturas da capital paraense, o valor total despendido é R$ 657.194,00, assim distribuídos: Igor Normando - R$ 356.084,00 (veja aqui); Eder Mauro - R$ 150.000,00 (veja aqui); Edmilson Rodrigues - R$ 151.110,00 (veja aqui).

Os dados informados foram consultados hoje, podendo ter alteração até o prazo final das eleições.

Rádio e Gráfica Correio

O que chama a atenção é que a rádio Correio FM,  do Sistema Rádio Carajás Amazônia Ltda, tem como sócia Ângela Azevedo Chamon, também proprietária da Correio Gráfica FM.

VEJA TRECHOS DO USO DA RÁDIO PELO PASTOR PARA PROPAGANDA POLÍTICA 

quinta-feira, 26 de setembro de 2024

🔴 AO VIVO - Primeiro Debate para Prefeito de Parauapebas - Carajás Podcast e Rádio Arara Azul FM

Eder Mauro ganha no TRE/PA, mas cabe recurso ao TSE

 

Eder Mauro deferido no TRE/PA, mas cabe recurso

O Tribunal Regional Eleitoral manteve a chapa do PL para a prefeitura de Belém/PA, o voto do juiz vistor prevaleceu, Eder Mauro tem sua candidatura a prefeito deferida na corte paraense.

O caso

Imagine, dia 6 outubro, ao meio-dia, o TRE ainda não sabe qual o endereço das seções de votação da cidade para informar corretamente aos eleitores, ou seja, o cidadão, por consequência, não tem o endereço do local onde exercerá o seu voto, isso mesmo, imagine na sua cidade, no dia da eleição, às 12 horas, a população sem saber o seu local de votação, pois foi exatamente isso que o PL municipal de Belém fez, no dia da convenção os seus filiados, ao meio-dia, ainda não sabiam onde o ato partidário seria realizado. 

Segundo o TRE/PA, com 2 votos contrários, isso tudo está valendo!

Imagine um partido que não consegue cumprir um prazo que ele mesmo estipulou.

Por certo, haverá recurso ao TSE.

Marcelo Parceirinho recebe solidariedade pela sua internação


Marcelo Parcerinho é internado

O candidato a vereador Marcelo Parcerinho enfrenta novamente problemas de saúde e está internado.

Amigos e correlegionários foram à unidade de saúde prestar solidariedade, momento em que o vereador pode receber e agradecer a todos os presentes.

Diante da impossiblidade de sua participação nessa reta final de campanha, sua equipe mantém  a agenda de reuniões e realizará uma grande caminhada pelas ruas de Parauapebas.

Pronta recuperação

Marcelo Parceirinho foi vereador por 2 mandatos com uma longa folha de serviços prestados ao município de Parauapebas, todos desejam que tenha pronta recuperação e volte às suas atividades o mais rápido possível.

Cabeleireiro é preso por vazar vídeo de sexo de delegado candidato a prefeito


O cabeleireiro foi preso

Um cabeleireiro foi preso nessa segunda-feira (23), ele é suspeito de divulgar vídeo íntimo do delegado e candidato a prefeito de Brasnorte (MT), Eric Fantin (PL). 

Segundo a matéria do UOL, o vídeo circulou nas redes sociais em agosto passado, mostrando o candidato do PL em um quarto de motel com uma mulher que, supostamente, seria uma profissional do sexo.

Só o cabeleireiro foi preso

Acredite, Eric Fantin é delegado de polícia civil, teve a audácia de registrar boletim de ocorrência e negar ser ele nas imagens. 

Quando a verdade se estabeleceu ele admitiu ser o homem que aparece na gravação, pediu desculpas aos eleitores e à esposa, o individuo ainda diz que as imagens foram realizadas sem o seu consentimento e que foi vítima de uma armadilha, também conta que na ocasião estava separado de sua esposa.

quarta-feira, 25 de setembro de 2024

Eleição em Belém: TRE, relator vota pela impugnação de Éder Mauro


Relator vota pela impugnação

O Tribunal Regional Eleitoral do Pará começou a analisar o recurso eleitoral que pede a impugnação do registro de candidatura do PL, que tem Éder Mauro e Tatiane Coelho como prefeito e vice.


O relator acolheu os argumentos do recurso interposto pelo empresário Luiz Sarubby Nassar, que alega ser irregular a convenção partidária do PL, realizada em 24 de julho de 2024, uma vez que o local do evento foi alterado sem comunicação prévia aos convencionais, violando o estatuto partidário e comprometendo o processo democrático interno.

Logo após o proferimento do voto pelo relator, o juiz federal José Airton de Aguiar Portela.



DATA POPULI: NOTA PÚBLICA

 

SERTANEJO PENITENCIÁRIO: GUSTTAVO LIMA TEM HC "TIPO JATINHO", SHOWS EM PARAUAPEBAS E MARABÁ ESTÃO CONFIRMADOS


Sertanejo penitenciário e o HC 'tipo jatinho"

Imagine um pessoa pobre sendo beneficiada por 'Habeas Corpus tipo jatinho', expedido em horas.

Para o desembargador Eduardo Guilliod, do Tribunal de Justiça de Pernambuco, a decisão da Juíza de decretar a prisão do Nivaldo Lima, mais conhecido como Gusttavo Lima, foram baseadas em 'ilações impróprias e considerações genéricas'.

Isso mesmo, Gusttavo Lima teve a sua prisão preventiva decretada por ter supostamente ajudado foragidos a escaparem da Justiça através do seu jatinho particular, mas a decisão foi da juíza Andrea Calado da Cruz, da 12ª Vara Criminal do Recife, a pedido da Polícia Civil de Pernambuco, na segunda-feira (23/9), sequer chegou a ser cumprida.

Gusttavo Lima é suspeito de ter ajudado pessoas investigadas pela Polícia Federal por lavagem de dinheiro por meio das bets a fugirem do país — o dono da Vai de Bet, José André da Rocha Neto e sua esposa, Aislla Rocha.

Devolveu o porte de arma e o passaporte

O desembargador também afastou a suspensão do passaporte e do certificado de registro de arma de fogo, bem como de eventual porte de arma de fogo, e demais medidas cautelares impostas.

O 'cidadão de bem' Gusttavo Lima, embora tivesse uma agenda de shows marcados para esse fim de semana, ele já estava em Miami (Estados Unidos) com a família.

Nivaldo vai voltar

Pelo jeito, pela nota ameaçadora do cantor, a Justiça e a Polícia Cívil do Pernambuco serão obrigados a pedir desculpas!

Volta, Nivaldo, volta! O paraíso das bets é aqui! 

terça-feira, 24 de setembro de 2024

Com prisão decretada, Gusttavo Lima tem shows marcados para o fim de semana em Marabá e Parauapebas


'Sertanejo Penitenciário'

Mesmo com a prisão decretada por suspeita de envolvimento com uma organização criminosa, o cantor Gusttavo Lima, foragido, mantém a programação dos shows previstos para Marabá/PA e Parauapebas/PA, nos dias 27 e 28/09, respectivamente.

Fuga virou viagem pra Miami

O cantor está foragido, mas segundo a grande imprensa do sul do país ele 'viajou' pra Miami, a juíza Andrea Calado da Cruz, da 12ª Vara Criminal do Tribunal de Justiça de Pernambuco, decretou a prisão preventiva do cantor Gusttavo Lima por suspeita de ter ajudado pessoas investigadas pela Polícia Federal por lavagem de dinheiro por meio das chamadas 'bets'.

A Justiça já havia determinado o bloqueio de R$ 20 milhões da empresa Balada Eventos, que tem o cantor entre os sócios.

Gusttavo ajudou foragidos, em Pernambuco a Polícia pediu a prisão, já em Parauapebas...

Imagine um candidato confessar na sua própria propaganda eleitoral que se aproveitou da vulnerabilidade de uma família carente, em estado de necessidade, e comprou a sua terra, pior ainda, segundo ele mesmo diz e a sua testemunha, a pobre família ainda deveria ter gratidão, pois ele comprou pra 'ajudar um criminoso a fugir da polícia'.

Lá no estado de Pernambuco isso seria motivo de prisão, conforme pedido da Polícia Civil em desfavor do Gustavo Lima e aceito pela Justiça.

Gusttavo Lima teve prisão preventiva decretada por ter supostamente ajudado foragidos

Segundo a Polícia Civil, Gusttavo Lima teria ajudado o dono da Vai de Bet, José André da Rocha Neto e sua esposa, Aislla Rocha, a fugirem do país. Ambos têm mandados de prisão em aberto desde o último dia 4 de setembro.

“É imperioso destacar que Nivaldo Batista Lima [nome verdadeiro de Gusttavo Lima], ao dar guarida a foragidos, demonstra uma alarmante falta de consideração pela Justiça. Sua intensa relação financeira com esses indivíduos, que inclui movimentações suspeitas, levanta sérias questões sobre sua própria participação em atividades criminosas. A conexão de sua empresa com a rede de lavagem de dinheiro sugere um comprometimento que não pode ser ignorado” (juíza Andrea Calado da Cruz, da 12ª Vara Criminal do Tribunal de Justiça de Pernambuco)

 Veja no CONJUR - aqui 

segunda-feira, 23 de setembro de 2024

DATA POPULI: NOTA PÚBLICA


Veja a mais recente pesquisa Data Populi para prefeito de Parauapebas/PA


A 12 dias da eleição, diminui a diferença entre o primeiro e o segundo colocado

A Pesquisa Data Populi divulgada nesta segunda-feira (23) sobre a eleição para prefeito de Parauapebas mostra que os candidatos Aurélio Goiano e Rafael Ribeiro podem disputar o segundo turno, fato inédito nas história das eleições locais. 

Aurélio Goiano ainda aperece na frente, mas a distância para Rafael Ribeiro vai diminuindo, segundo os levantamentos realizados pelo Data Populi.

A 12 dias das eleições, no cenário estimulado, a pesquisa aponta Aurélio Goiano com 41,5% das intenções de voto e Rafael Ribeiro com 33,9%, na pesquisa anterior Aurélio Goiano tinha obtido 42,3% e Rafael Ribeiro 30,1%. No decorrer de 8 dias a distância entre os dois mais citados caiu de 12,2% para 7,6%.

Dr. Felipe ocupa o terceiro lugar com 8,2% e Graziele Ribeiro aparece com 4% das intenções de voto. Na pesquisa anterior, Dr. Felipe obteve 9,4% e Graziele Ribeiro manteve os 4%. 

Os que pretendem votar em nenhum, branco ou nulo somam 5,5%, sendo que pesquisa anterior eram 6,2%, aqueles que disseram não saber ou não responderam são 6,9%, eram 8%.


Espontânea

No pesquisa espontânea, quando o eleitor aponta sua intençâo de voto sem a apresentação dos nomes dos candidatos, a soma de outros (0,2%), nenhum, branco e nulo (5,9%) com aqueles que não sabem ou não responderam (28,9%) ainda alcança 35%.

Nesse cenário, a pesquisa também mostra a dimuição da distância entre os dois mais citados, Aurélio Goiano aparecendo com 32,2% e Rafael Ribeiro com 25,3%. Dr. Felipe com 5,5% e Graziele Ribeiro com 2%. 

Na pesquisa anterior, a diferença entre Aurélio Goiano e Rafael Ribeiro era de 10,8% e caiu para 6,9%.


Dados da pesquisa

A Pesquisa Data Populi para prefeito e vereador de Parauapebas/PA teve como contratante a Fundação Cultural e Educacional Nativa (Arara Azul FM), foi realizada no período de 16 a 17/09/24, sob registro no TSE n° PA-03266/2024, com 1.019 entrevistas domiciliares. A margem de erro é de 3% e o nível de confiança é de 95%.

quinta-feira, 19 de setembro de 2024

PARAUAPEBAS SE DESPEDE DE BEL MESQUITA


"Hoje, o coração de Parauapebas está mais triste. Perdemos Bel Mesquita, nossa eterna prefeita, mas o que nunca perderemos é o brilho do seu sorriso e o legado que você construiu com tanto amor por essa cidade.

A imagem que ficará para sempre em nossas memórias é a de uma mulher forte, determinada, que fez a diferença na vida de todos nós. Suas conquistas e sua dedicação ao nosso povo serão lembradas para sempre. Agora, descanse ao lado de Deus, onde com certeza será recebida com o mesmo carinho e alegria que sempre nos ofereceu.

Seu sorriso continuará iluminando nossos corações, Bel."
O prefeito Darci Lermen - em nome de toda a população de Parauapebas.

Ação inédita da AGU pede R$ 635 milhões em reparação ambiental contra fazendeiros no Pará


R$ 635 milhões, desocupação da área em 30 dias, indisponibilidade de bens, proibição de acesso a créditos

A Justiça Federal do Pará já tem em mãos uma Ação Civil Pública (ACP) contra os proprietários de várias fazendas em terras invadidas e griladas na Floresta Nacional do Jamanxim, pelos danos constatados com o desmatamento, as queimadas, uso de herbicidas, introdução de espécies exóticas, destruição de áreas de preservação permanente e pelo impedimento à regeneração da vegetação nativa para a criação de gado dentro da  unidade de conservação. 

A Advocacia Geral da União (AGU)  requereu que a Justiça Federal fixe prazo de 30 dias para a desocupação total da área, sob pena de multa diária no valor de R$ 10 mil, a proibição de explorar de qualquer modo a área desmatada e a decretação da suspensão de incentivos ou benefícios fiscais, bem como de acessos à linha de crédito concedidos pelo poder público aos responsáveis, a decretação da indisponibilidade de bens móveis e imóveis dos réus, inclusive de todo o seu rebanho declarado no Sistema de Gestão Agropecuária do Estado do Pará.

Continuam a praticar os delitos

Segundo a AGU, os fazendeiros, mesmo após terem atos infracionais lavrados pelo Instituto Nacional do Meio Ambiente e dos Recursos Naturais Renováveis (Ibama) e pelo Instituto Chico Mendes de Conservação da Biodiversidade (ICMBio), continuaram praticando os ilícitos, as 'propriedades' abrigavam mais de 3.000 animais, sendo que muitos deles foram retirados às pressas do local antes do início da operação de fiscalização.

O faz de conta do governo do Pará

A ação da AGU revela absurdos, mostrando a total conivência e inércia das autoridades paraenses, conforme constatado na fiscalização, o gado não possui registro nem controle de movimentação junto à Agência de Defesa Agropecuária do Estado do Pará (ADEPARÁ), o que caracteriza fraude sanitária capaz de colocar em risco a ordem econômica e a saúde pública, mesmo assim os animais transitam livremente pelo Estado e, talvez, comercializados com frigoríficos.

No governo do Pará, ninguém viu

Foram 7.075 hectares de unidade de conservação ocupados para criação irregular de gado, a reparação ambiental foi estimada em R$ 635 milhões e foram calculados a partir do custo social da emissão de gases do efeito estufa resultantes dos danos ambientais. 

terça-feira, 17 de setembro de 2024

Sessão da Câmara foi um termômetro da campanha: a temperatura alta revela uma disputa acirrada até nos ânimos


Nem tudo é o que parece 

A sessão da Câmara de Vereadores de Parauapebas serviu de termômetro de como está a temperatura na disputa pela prefeitura da mais importante cidade do interior paraense: o clima tá quente, pegando fogo.

Quem assistiu a sessão tem a impressão que só tem dois candidatos a prefeito de Parauapebas, mas não é bem isso, além de Rafael Ribeiro e Aurélio Goiano a disputa também conta com Graziele Ribeiro e Dr. Felipe.

Eleição não se ganha de véspera

A sessão contou com grande público, mas logo virou um tumulto, a tensão aumentou e a temperatura subiu, obrigando o presidente a encerrar os trabalhos.

Uma coisa todos sabem e político sabe mais que todos, ao menos deveria saber: eleição não se ganha de véspera.

O dilema

O dilema para todos os envolvidos pode assim ser resumido: o candidato que está atrás já sente que pode ficar na frente e o candidato que está na frente já percebe que pode ficar atrás.

Acirrada até nos ânimos

A sessão da Câmara findou e foi um termômetro da eleição: a temperatura alta revela uma disputa acirrada até nos ânimos.

segunda-feira, 16 de setembro de 2024

O caso dos 3 candidatos com mandado de prisão em aberto que foram favorecidos pelo PL, Novo e PRTB


A Polícia Federal prendeu no último sábado (14) um dos três candidatos a vereador nas eleições municipais de 2024 por participação nos atos golpistas de 8 de janeiro de 2023 (aqui).

O marginal encontrou abrigo no Partido Novo de Céu Azul/PR, tem o nome de Marcos Geleia Patriota, o rapaz é investigado por associação criminosa e tem mandado de prisão aberto em seu nome pelo Supremo Tribunal Federal, mas segundo seus companheiros de partido ele 'é um exemplo  de integridade pessoal e profissional' (aqui).

O registro dos candidatos foram deferidos e estavam fazendo campanha.

A questão é?

A questão principal não é os 3 (três) procurados pela Justiça terem direito a serem candidatos, mas como conseguiram praticar todos os atos necessários para obter o registro, mesmo com um mandado de prisão preventiva em aberto?

Eles se filiaram, participaram de convenções, entregaram todos os documentos necessários, até foto atualizada, como conseguiram realizar todos esses atos?

Como os cartórios eleitorais não identificaram os criminosos e não oficiaram a Polícia para o cumprimento da prisão preventiva?

É liberal, é novo e é revolucionário?


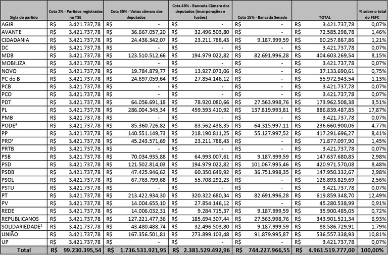
O partido Novo receberá do Fundo Especial de Financiamento de Campanha (FEFC) cerca de R$ 37 milhões, o PL R$ 886 milhões e o PRTB 3,4 milhões (aqui).

Aliás, segundo esses partidos políticos, abrigar, filiar, registrar e repassar dinheiro público para uma pessoa que é procurada, que tem mandado de prisão em aberto, é algo realmente LIBERADO, REVOLUCIONÁRIO e NOVO.

Será que pode ser tipificado como favorecimento pessoal ou real, ambos?

Condenados

Os criminosos que participaram dos atos de 8 de janeiro, dependendo do seu grau de envolvimento, estão sendo condenados por associação criminosa armada, abolição violenta do Estado Democrático de Direito, tentativa de golpe de Estado, dano qualificado e deterioração de patrimônio tombado.

Outra questão

Aliás, o Estado Democrático de Direito e as suas instituições tem um longo percurso a caminhar, nas cidades brasileiras é comum encontrar candidatos que participaram de bloqueios de rodovias, do acampamento criminoso no QG do Exército e estão livres e soltos, nem processo respondem.

Tá solto, ainda!

Em Parauapebas foi registrado 'locaute' e bloqueio da rodovia PA 275, um candidato a prefeito participou e deu suporte aos atos com recursos públicos.

sábado, 14 de setembro de 2024

PARAUAPEBAS: Doxa e Data Populi apontam para o segundo turno, Gauss e Skala divergem


Data Populi e Doxa apontam segundo turno, Gauss e Skala divergem

Não é apenas em São Paulo ou Belém que as pesquisas apontam números diferentes nas eleições municipais de 2024 (AQUI), em Parauapebas/PA o fenômeno se repete, segundo os últimos quatro levantamentos divulgados a cidade teria segundo turno em dois destes, Data Populi e Doxa, já nos institutos Skala e Gauss as eleições seriam resolvidas no primeiro turno.

Últimas eleições

Nas duas últimas eleições para prefeito em Parauapebas nenhum candidato conseguiu atingir mais de 50% dos votos válidos, ou seja, haveria segundo turno, em 2016 Darci Lermen venceu o pleito com 41,87% e Valmir Mariano ficou em segundo com 38,55%. Em 2020, Darci Lermen obteve 48,42%, Júlio César veio em segundo com 20,48% e Valmir ficou em terceiro com 18,74% dos votos válidos.

VEJA A FONTE DAS PESQUISAS ELEITORAIS - CLIQUE NOS LINKS




quinta-feira, 12 de setembro de 2024

DATA POPULI APONTA PARA UM SEGUNDO TURNO EM PARAUAPEBAS

 

Segundo turno em Parauapebas

O Data Populi foi a campo no município de Parauapebas/PA entre os dias 5 a 8 de setembro para realizar mais uma pesquisa para prefeito e vereador, o resultado foi divulgado pela Rádio Arara Azul FM, os números apontam que a disputa pelo comando da mais importante cidade do sul/sudeste paraense tende a ser decidida apenas no segundo turno, a ser realizado no dia 27 de outubro de 2024.

No cenário estimulado, o candidato Aurélio Goiano tem 49,3% dos votos válidos e Rafael Ribeiro vem em seguida com 35,1%, Dr. Felipe é o terceiro colocado com 10,9% e Graziele Ribeiro aparece em quarto com 4,6%.

Os números totais do cenário estimulado são: Aurélio Goiano 42,3%; Rafael Ribeiro 30,1%; Dr. Felipe 9,4% e Graziele Ribeiro 4%. Nenhum, branco e nulo 6,2% e Não sabe/não respondeu 8%.


Na espontânea

No cenário onde o entrevistado declina o nome do seu candidato sem reagir a qualquer estímulo, espontaneamente, a diferença entre o primeiro e segundo colocado é de apenas 10,8%, Aurélio Goiano tem 32,7% e Rafael Ribeiro vem com 21,9%. Dr. Felipe tem 4,8% e Graziele Ribeiro tem 1,7%.

Nesse cenário, a soma das intenções registradas para outros nomes e de quem indica votar em nenhum/branco/nulo ou disse não saber/não respondeu totaliza 38,9%. 


Dados da pesquisa

A pesquisa Data Populi para prefeito e vereador de Parauapebas/PA foi registrada no TSE sob n° PA-02166/2024, tendo como contratante a Fundação Educacional e Cultural Nativa/Rádio Arara Azul FM, realizada no período de 05 a 08/09/24, com 2.373 entrevistas, margem de erro de 2% e nível de confiança de 95%. 

terça-feira, 10 de setembro de 2024

Parauapebas/PA, em menos de 8 anos, recebeu 96.498 novos moradores


Em menos de 8 anos são 96.498 novos moradores

O IBGE já divulgou a estimativa populacional de 2024 para os municípios brasileiros, Parauapebas tem 298.854 habitantes.

O número mostra que o município continua sendo a terra da oportunidade, para ter idéia da pujança da cidade e do seu crescimento, em 2017, quando o prefeito Darci Lermen retornou ao comando da gestão local, eram 202.356 habitantes, ou seja, em menos de 8 anos a cidade recebeu 96.498 novos moradores.

Esses 96.498 novos moradores recebidos pela 'mãe Parauapebas' representam uma população superior a de 129 municípios paraenses,  para ter idéia, os 96.498 moradores superam os habitantes de Tucuruí, Redenção, Moju ou Canaã dos Carajás.


Parauapebas teve 104.820 domicílios recenseados e 87.667 ocupados permanentes

Em Parauapebas, o 'Censo Demográfico 2022' identificou um total 87.667 domicílios permanentes ocupados, sendo a média 3,05 de pessoas por unidade.

Agora, o IBGE continua divulgou os dados relativos ao total de “domicílios não ocupados”, ou seja, a soma de domicílios “de uso ocasional” (casas de férias) com aqueles considerados “vagos” (imóveis à venda, para alugar ou mesmo abandonados, desde que não haja ninguém morando).

Foram relacionados 16.901 domicílios não ocupados, sendo 12.369 vagos (73% do total) e 4.532 (27%) de uso ocasional.

Mais de 51 mil moradores

Considerando a média de moradores por domicílio, os 16.901 domicílios poderiam abrigar uma população de 51.548 moradores.

sexta-feira, 6 de setembro de 2024

Doxa já mostra um segundo turno em Parauapebas/PA


EM PARAUAPEBAS TERÁ SEGUNDO TURNO, APONTA A DOXA

A mais recente pesquisa DOXA para prefeito de Parauapebas já mostra que a cidade teria segundo turno entre o vereador Aurélio Goiano e Rafael Ribeiro, caso as eleições fossem hoje.

Aurélio Goiano tem 41,5% das intenções de voto e Rafael Ribeiro vem se aproximando com 27,7%, em terceiro lugar aparece Dr. Felipe (PL) com 13,4%, seguido de Graziele com 4,0%. 


Na espontânea, já tem empate técnico

Considerando que a margem de erro da pesquisa é de 4,1%, no cenário espontâneo, quando o eleitor diz sem ser estimulado qual o seu candidato, os números mostram uma ascensão impressionante de Rafael Ribeiro (21,6%), empatando tecnicamente com Aurélio Goiano (27%).

O cenário espontâneo vem mostrando que tem um universo de 38,1% dos eleitores que ainda não sabem ou preferem não dizer em quem votariam para prefeito.


Dados da pesquisa 

A Pesquisa DOXA para prefeito de Parauapebas foi realizada com recursos próprios e registrada no TSE sob o nº PA-06976/2024. O nível de confiança utilizado é de 95%. A margem de erro estimada é de 4.1%. A Doxa realizou a pesquisa entre os dias 26 a 29 de agosto de 2024 com uma amostra de 600 entrevistas.

quarta-feira, 4 de setembro de 2024

Tenente-Coronel da PM batia e estuprava uma ex-chefe da Delegacia da Mulher


O tema da violência contra a mulher nas eleições municipais

Em Parauapebas, apesar da repercussão de vários casos de violência contra a mulher o tema ainda não ganhou a dimensão que deveria nas eleições municipais, impera um 'silêncio ensurdecedor'.


No último domingo, um caso emblemático foi revelado pelo programa Fantástico, a 'ex-chefe da Delegacia de Atendimento à Mulher (DEAM) de Volta Redonda/RJ, Juliana Domingues, relatou ter sofrido agressões do ex-marido, o tenente-coronel da Polícia Militar Carlos Eduardo da Costa. De acordo com ela, os episódios de violência aconteceram entre 2021 e 2022, quando ela era delegada da DEAM, em Volta Redonda, no interior do estado. O PM atualmente é coordenador de Segurança do Tribunal Regional Federal do Rio (aqui).'

Filho do 'Zé da Vaca' ou do 'Zé da Porca'

A reportagem sobre o caso das agressões contra a Delegada Juliana Domingues revela vários prints de 'Whatsapp' sobre a violência sofrida e como é difícil para se combater esses criminosos, no caso, o agressor foi promovido e é o coordenador de Segurança do Tribunal Regional Federal do Rio de Janeiro, só falta o marginal ser candidato a prefeito da cidade.

O agressor de Juliane Domingues, um policial militar de alta patente, não tem mãe: deve ser filho de um 'Zé da Vaca' ou 'Zé da Porca'.

terça-feira, 3 de setembro de 2024

TSE: USO DE TELEMARKETING É PROIBIDO NA PROPAGANDA ELEITORAL


Uso de telemarketing é proibido na propaganda eleitoral

A legislação eleitoral proíbe divulgar propaganda eleitoral por meio de telemarketing na campanha das Eleições Municipais de 2024, conforme estalece a Resolução nº 23.610/2019.

Também é proibido o disparo em massa de mensagens instantâneas sem o consentimento da pessoa destinatária.

'As diretrizes buscam prevenir práticas invasivas e garantir que as campanhas respeitem os direitos das cidadãs e dos cidadãos, por meio da realização de um pleito com transparência e equidade entre candidaturas, conforme estabelece a legislação eleitoral.'

Envio de mensagem tem que identificar o remetente

As mensagens eletrônicas e mensagens instantâneas enviadas pelos candidatos (as) devem incluir a identificação completa do remetente e oferecer ao destinatário a opção de solicitar o descadastramento e a eliminação de seus dados pessoais, sendo atendido em até 48 horas.

O descuprimento pode implicar em sanções legais  'com multa de R$ 5 mil a R$ 30 mil, quem realizar propaganda eleitoral na internet atribuindo indevidamente sua autoria a terceiro, inclusive candidata, candidato, partido político, federação ou coligação, nos termos do artigo 57-H da Lei das Eleições (Lei nº 9.504/1997).'

domingo, 1 de setembro de 2024

DATA POPULI: VEJA A MAIS RECENTE PESQUISA PARA PREFEITO DE PARAPAUPEBAS


Data Populi divulga a mais recente pesquisa para a prefeitura de Parauapebas

O Data Populi divulgou a sua primeira pesquisas para prefeito de Parauapebas depois de encerrado o prazo para registro e publicado o edital das candidaturas pela Justiça Eleitoral.

Caso as eleições para prefeito de Parauapebas fossem hoje, os números divulgados pelo Instituto Data Populi mostram Aurélio Goiano com 45,4% e Rafael Ribeiro com 26,5% das intenções de votos, Dr. Felipe tem 10,6% e Graziele Ribeiro 3,1%.

Os eleitores que indicaram votar em branco, nulo ou nenhum são 6,4% e 8% não responderam ou disseram que ainda não sabem.


Na espontânea

No cenário onde o entrevistado declina espontaneamente o nome do candidato, Aurélio Goiano aparece com 34,1% e Rafael Ribeiro vem em seguida com 18,1%, depois Dr. Felipe com 4,6% e Graziele Ribeiro com 0,8%. 

Os eleitores que pretendem votar em branco, nulo ou nenhum somam 4,9% e 37%  não reponderam ou são sabe em quem votar.


Dados da Pesquisa

A pesquisa do Instituto Data Populi para prefeito do município de Parauapebas foi realizada com recursos próprios, no período de 25 a 27/08/24, com 1.061 entrevistas domiciliares face a face, a margem de erro é de 3,0% e o nível de confiança de 95%. Registro n° TSE n° 07310/2024.